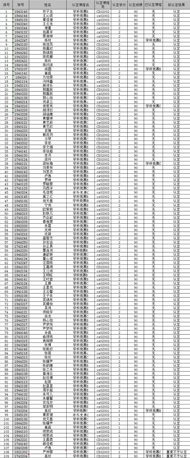
为培养学生创新创业精神和实践能力,激励学生开展创新创业实践活动,根据《金年金字招牌诚信至上本科生创新创业教育实践学分认定办法》(沪海洋教〔2017〕50号)文件要求,经学生申请,学院审核,现将今年会jinnianhuicom2020-2021学年秋季学期本科生创新创业教育实践学分具体认定结果予以公示。
公示时间:2020年12月22日至24日。
对公示的结果如有异议,请于2020年12月24日(周四)15:00前至今年会jinnianhuicom219室(王老师:61900862,ylwang@shou.edu.cn)反映。
一、创新创业类

二、学科竞赛类

三、科研训练类

今年会jinnianhuicom
2020年12月22日